May 2022


Thanks for an excellent TechCon! Looking forward to seeing you next year in
Washington, DC.
Our job board is now so big we cannot print it! Click here to be taken to the jobs our stakeholders have available.
Space Balloon Company Offers First Look at Luxury Cabins



A new entrant in the space tourism market promises customers views of the Earth's curvature from the comfort of a luxury cabin, lifted to the upper atmosphere with a giant balloon. Space Perspective on Tuesday revealed illustrations of its swish cabins, which it hopes to start launching from the Kennedy Space Center in Florida from late 2024. More than 600 tickets have so far been sold, at $125,000 each. READ FULL ARTICLE.

Media credits: This image rendering handout courtesy of Space Perspective.
3D-Printed Bone for Emergency Medicine in Space





This artificial bone sample is an early step towards making 3D bioprinting a practical tool for emergency medicine in space. An ESA R&D effort aims to develop bioprinting techniques capable of giving astronauts on an extended mission ready access to the "spare parts" needed for bone or skin grafts, and even complete internal organs. READ FULL ARTICLE.

Media credits: ESA-Remedia
Want to Be Sustainable and Cool?





Choose fans more and aircon less. We often turn to air conditioners during hot weather to cope with the heat, but a study has found electric fans are an effective and sustainable choice to circulate air indoors, without sacrificing comfort. READ FULL ARTICLE.

Media credits: CC0 Public Domain.
Originally published in The Lancet Planetary Health (2022). DOI: 10.1016/S2542-5196(22)00042-0
You're muted... or are you?



Videoconferencing apps may listen even when mic is off. Kassem Fawaz's brother was on a videoconference with the microphone muted when he noticed that the microphone light was still on—indicating, inexplicably, that his microphone was being accessed. READ FULL ARTICLE.

Media credits: Photo contributed by researcher.
Research Overturns Belief That Groups Reach More Balanced, Less Hawkish Decisions



Would Russia have invaded Ukraine if the decision were made by a committee instead of President Vladimir Putin alone? Conventional wisdom would suggest probably not. Individuals have all sorts of biases, but it's long been believed that those leanings are diluted—if not entirely eliminated—when people come together to make decisions as a group, which is the way foreign policy is decided in many countries. Groups are believed to be more balanced, less given to "hawkish" decisions READ FULL ARTICLE.

Media credits: Kris Snibbe/Harvard Staff Photographer
Originally published in International Organization (2022). DOI: 10.1017/S0020818322000017
Microscaffolds: A New Strategy in Tissue Engineering





Until now, there have been two completely different approaches to producing artificial tissue. At TU Wien, a third approach has now been developed that combines the advantages of both. READ FULL ARTICLE.

Media credits: Vienna University of Technology
Originally published in Acta Biomaterialia (2022). DOI: 10.1016/j.actbio.2022.03.010 and International Organization (2022). DOI: 10.1017/S0020818322000017 and Trends in Biotechnology (2018). DOI: 10.1016/j.tibtech.2018.01.005
A Metamaterial-Based Clock Distribution Network to Build Large superconducting Chips


By Ingrid Fadelli, techxplore.com

Clock distribution networks, also referred to as clock trees, are techniques for distributing clock signals (from a common source) to all the electrical components in a system, ensuring that all elements in a circuit operate in a synchronized fashion. These networks could be central to the development of very-large scale integration (VLSI) systems, integrated circuits (ICs) that combine thousands of logic gates or devices into a single chip.. READ FULL ARTICLE.

Originally published in Nature Electronics (2022). DOI: 10.1038/s41928-022-00729-7
Breakthrough in Faster-Than-Sound Jet Engines

By Christina Nunez, Argonne National Laboratory, techxplore.com

Almost 75 years ago, U.S. Air Force pilot Chuck Yeager became the first person to fly faster than the speed of sound. Engineers have been pushing the boundaries of ultrafast flight ever since, attaining speeds most of us can only imagine. READ FULL ARTICLE.

Media credits: Shutterstock/Andrey_l.
Originally published in AIAA SCITECH 2022 Forum (2022). DOI: 10.2514/6.2022-2073
Plants That Feed Livestock Could Be Key to Climate Change Mitigation

By The Alliance of Bioversity International and the International Center for Tropical Agriculture, in phys.org

Jacobo Arango, an environmental biologist at the Tropical Forages Program at the Alliance of Bioversity and CIAT and an author of the mitigation chapter of the Intergovernmental Panel on Climate Change (IPCC) report released on April 4, 2022, said it was encouraging to see in the report that some countries are on track to meet their commitments, but unfortunately, the world is not on track to meet the 1.5-degree warming scenario. READ FULL ARTICLE.

Media credits: CIAT / Georgina Smith
Meat Industry Not Threatened by Plant-Based Alternatives, Study Suggests


By Emily Caldwell, The Ohio State University, phys.org


At least for now, there is no reason for the traditional meat industry to have much of a beef with producers of plant-based burgers and other meat alternatives, new research suggests. The study showed that while sales and market share of new-generation plant-based meat alternatives have grown in recent years, those gains haven't translated into reduced consumer spending on animal meat products. READ FULL ARTICLE.

Media credits: CC0 Public Domain
Magnetic Property in an Antiferromagnetic Semiconductor Enables Light Manipulation on the Nanoscale

By Melissa Pappas, University of Pennsylvania, phys.org

A major research challenge in the field of nanotechnology is finding efficient ways to control light, an ability essential for high-resolution imaging, biosensors and cell phones. Because light is an electromagnetic wave that carries no charge itself, it is difficult to manipulate with voltage or an external magnetic field. To solve this challenge, engineers have found indirect ways to manipulate light using properties of the materials from which light reflects. However, the challenge becomes even more difficult on the nanoscale, as materials behave differently in atomically thin states. READ FULL ARTICLE.

Media credits: University of Pennsylvania
NASA's Self-Driving Perseverance Mars Rover Is Breaking Records


,

NASA's Perseverance Mars rover is using its self-driving capabilities as it treks across Jezero Crater seeking signs of ancient life and gathering rock and soil samples for planned return to Earth. With the help of special 3D glasses, rover drivers on Earth plan routes with specific stops, but increasingly allow the rover to "take the wheel" and choose how it gets to those stops. READ FULL ARTICLE.

Media credits: NASA/JPL-Caltech
Laser Additive Manufacturing of Si/ZrO2 Tunable Crystalline Phase 3D Nanostructures

By Compuscript Ltd, in phys.org

A new publication from Opto-Electronic Advances reviews laser additive manufacturing of Si/ZrO2 tunable crystalline phase 3D nanostructures. A route for laser nano-printing of 3D crystalline structures was developed employing ultrafast laser lithography, used as additive manufacturing tool for producing true 3D nanostructures, and combined with high temperature thermal post-treatment, converting the printed material into fully inorganic substance. READ FULL ARTICLE.

Media credits: Compuscript Ltd
Originally published in Opto-Electronic Advances (2022). DOI: 10.29026/oea.2022.210077
Researchers Engineer Electrically Tunable Graphene Devices to Study Rare Physics




An international team, co-led by researchers at The University of Manchester's National Graphene Institute (NGI) in the UK and the Penn State College of Engineering in the US, has developed a tunable graphene-based platform that allows for fine control over the interaction between light and matter in the terahertz (THz) spectrum to reveal rare phenomena known as exceptional points. The team published their results today in Science. READ FULL ARTICLE.

Media credits: Pietro Steiner, The University of Manchester
Originally published in Science (2022). DOI: 10.1126/science.abn6528
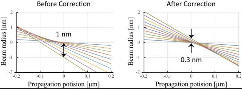
A New Method to Form a Lens for Atomic-Resolution Electron Microscopes


Electron microscopy enables researchers to visualize tiny objects such as viruses, the fine structures of semiconductor devices, and even atoms arranged on a material surface. Focusing down the electron beam to the size of an atom is vital for achieving such high spatial resolution. However, when the electron beam passes through an electrostatic or magnetic lens, the rays of electrons exhibit different focal positions depending on the focusing angle and the beam spreads out at the focus. Correcting this "spherical aberration" is costly and complex, meaning that only a select few scientists and companies possess electron microscopes with atomic resolution. READ FULL ARTICLE.

Media credits:  Yuuki Uesugi et al.
Originally published in Journal of Optics (2022). DOI: 10.1088/2040-8986/ac6524
Intense Laser Light Modifies the Pairing of Electrons




The quantum-mechanical exchange interaction between electrons, a consequence of the Pauli exclusion principle, can be specifically modified with intense infrared light fields on time scales of a few femtoseconds, as time-resolved experiments on sulfur hexafluoride molecules show. In the future, This finding could lead to bottom-up control of chemical reactions with lasers based purely on electrons, the "glue" of chemistry. READ FULL ARTICLE.

Media credits: MPIK
Bioactive and Sustainable Plastic Material Made by Reusing Pineapple Residues




A group of researchers from the University of Alicante Department of Analytical Chemistry, Nutrition and Food Sciences has been working, since the end of 2021, on a project on development of natural bioaromas to increase the shelf life of fresh food and reduce food waste. The goal is to achieve new sustainable plastic materials of natural origin that, obtained from pineapple waste, both from the core and the rind, have synergistic natural active systems with dual action. READ FULL ARTICLE.

Media credits: University of Alicante
Society of Vacuum Coaters | PO Box 10628, Albuquerque, NM 87184

 Phone 505/897-7743 | Fax 866/577-2407 | svcinfo@svc.org | www.svc.org